颜料黄183(PY183)性能特点、应用领域与合成工艺解析
- 名称:颜料黄183
- 俗称:PY183
- 色相/色光:红光黄色
- 化学类别:偶氮色淀颜料
- 特点:耐高温、高色牢度、易分散、耐迁移
- 应用:塑料、涂料
- 更新日期:2025-05-15
- 点击索要样品 查询相关产品
颜料黄183(Pigment Yellow 183)耐高温红光黄颜料性能和应用与合成工艺解析
- 中文名:颜料黄183
- 英文名:Pigment Yellow 183(PY183)
- CAS号:65212-77-3
- C.I.结构号:18792
- 化学结构:单偶氮钙盐色淀
- 色相/色光:红光黄色
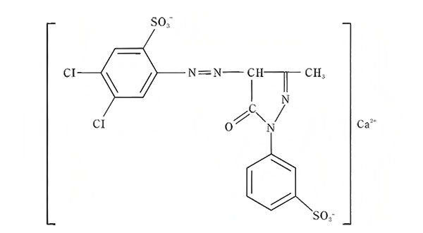
- 化学文摘名称:4,5-二氯-2-[[4,5-二氢-3-甲基-5-氧代-1-(3-磺基苯基)-1H-吡唑-4-基]偶氮]苯磺酸钙盐(1:1)
4,5-dichloro-2-[[4,5-dihydro-3-methyl-5-oxo-1-(3-sulfophenyl)-1H-pyrazol-4-yl]azo]benzenesulfonic acid, calcium salt (1:1) - 分子式:C₁₆H₁₀Cl₂N₄O₇S₂Ca
- 分子量:545.40
- 分子结构图:

一、颜料黄183性能特点
颜料黄183(Pigment Yellow 183)是一种红光黄色偶氮钙盐色淀类有机颜料,有良好的分散性、优异的热稳定性、出色的耐光性和良好的耐迁移性等特点。虽然其着色力相较某些有机颜料略低,但因其具备较高的高温稳定性和耐候性能,近年来成为塑料行业中广泛采用的高性能颜料之一。
颜色表现:红光黄色,色泽鲜艳。
热稳定性:具有出色的热稳定性(高达 300°C),适用于需要在较高温度下加工的塑料产品着色。
无翘曲性:在1/3标准深度(SD)下,用于高密度聚乙烯(HDPE)时可耐热达300°C,并且无翘曲变形。
耐光与耐候性:耐晒牢度可达7~8级,并且在全阴处具有出色的耐候性,适合户外使用。
分散性能:极易分散于各种聚合物中,制备过程更为高效。
环保性能:不含重金属、不含DCB,可用作铬黄与二芳基黄系颜料的替代品。
低迁移性:在增塑PVC及其他高分子材料中具备优良的抗迁移性能。
二、颜料黄183应用领域
颜料黄183特别适合需要高温加工和优良耐候性的塑料制品,可广泛用于以下材料和工艺中:
塑料类:
聚烯烃(PP、PE、LLDPE、LDPE、HDPE)
工程塑料(ABS、SAN、ASA、POM、PET;PA除外)
热塑性聚氨酯(PUR)、聚苯乙烯(PS)、聚甲基丙烯酸甲酯(PMMA)
聚氯乙烯(PVC)软质/硬质制品
橡胶与弹性体
涂料类:
工业涂料、卷材涂料、粉末涂料、建筑涂料等
其他应用:
吹塑、注塑、纤维、薄膜、PVC电缆包覆等
其高热稳定性、不翘曲性和良好的环保性,使其成为传统铬黄等含铅颜料的环保替代方案。特别是在HDPE中,可在低浓度下使用,仍保持高热稳定性,适合浅色配色体系。
三、颜料黄183使用建议与着色力
在PVC中配制1/3 SD色深(搭配1%钛白粉)时所需颜料量为0.34%
在HDPE中配制1/3 SD色深(搭配1%钛白粉)时所需颜料量为0.43%
推荐用于对尺寸稳定性要求高的高温注塑应用
四、颜料黄183合成方工艺
颜料黄183的合成属于典型的色淀类偶氮颜料制备路线:
重氮化:使用2-氨基-4,5-二氯苯磺酸作为重氮组分,在水溶液中加入亚硝酸钠进行重氮化处理;过量亚硝酸通过加入氨磺酸去除。
偶合反应:将所得重氮盐与1-(3'-磺酸苯基)-3-甲基-5-吡唑啉酮在pH 5~6的弱酸性条件下进行偶合反应。
沉淀转化:偶合物进一步与氯化钙反应生成钙盐色淀。
后处理:加热、过滤、洗涤并干燥等处理,得到最终颜料黄183产品。
五、总结
有机颜料黄183凭借其优异的热稳定性、耐光耐候性以及出色的耐迁移性等特点,成为塑料、涂料等行业中高性能红光黄色颜料的理想选择。它不仅可以替代传统含铅颜料,同时也能满足现代高温加工工艺的需求。
颜料黄183代表产品
-
润巴P3860耐高温塑料颜料_颜料黄183
润巴Ranbar Yellow P3860耐高温塑料颜料是一种经济型的中黄色偶氮色淀类有机颜料,颜料黄183,该颜料特别适用于需要在较高温度下加工的各种塑料产品...
-
巴斯夫K1700透明红相黄色偶氮色淀颜料(颜料黄183)
巴斯夫K1700有机颜料是一种透明的红相黄色偶氮色淀颜料,具有优异的耐热稳定性和高耐光耐候性,在高密度聚乙烯注塑成型中低翘曲性,特别推荐用于聚烯烃薄膜和聚丙烯纤...
-
德国巴斯夫K1800红光黄色耐高温有机颜料 颜料黄183
巴斯夫BASF Paliotol Yellow K1800是一种多功能的不透明红光黄色偶氮色淀类有机颜料,颜料黄183号,在聚烯烃中具有优良分散性、耐热稳定性和...
