颜料红146结构特点、合成方法及主要用途介绍Pigment Red 146
- 名称:颜料红146
- 俗称:萘酚洋红FBB / 永固洋红FBB
- 色相/色光:蓝光红色
- 化学类别:单偶氮类
- 特点:颜色鲜艳、高光泽度、良好的耐光性和耐溶剂性
- 应用:主要用于油墨和涂料行业
- 更新日期:2025-06-26
- 点击索要样品 查询相关产品
颜料红146(Pigment Red 146)的结构特点、合成工艺与应用
基本信息
- 中文名称:颜料红146
- 英文名称:Pigment Red 146
- 别名:萘酚洋红FBB、永固洋红FBB
- CAS号:5280-68-2
- C.I.结构号:12485
- EINECS编号:226-103-2
- 化学结构:单偶氮萘酚AS
- 分子式:C₃₃H₂₇ClN₄O₆
- 相对分子量:611.04
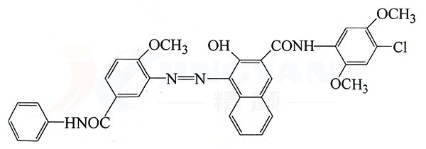
颜料红146分子结构
颜料红146的化学文摘名称为:N-(4-氯-2,5-二甲氧基苯基)-3-羟基-4-[[2-甲氧基-5-[(苯氨基)羰基]苯基]偶氮]-2-萘甲酰胺;N-(4-chloro-2,5-dimethoxyphenyl)-3-hydroxy-4-[[2-methoxy-5-[(phenylamino)-carbonyl]phenyl]azo]-2-Naphthalenecarboxamide;
颜料红146结构中包含典型的偶氮基团和萘酚结构单元,赋予了其鲜艳的色彩,优异的着色性能和良好的耐久性。
物理化学性能
| 性能指标 | 参数范围 |
|---|---|
| 色相/色光 | 蓝光红色(洋红) |
| 相对密度 | 1.35 - 1.40 g/cm³ |
| 堆积密度 | 11.2 - 11.6 lb/gal |
| 熔点 | 318 - 322 ℃ |
| 平均粒径 | 0.11 μm |
| 粒子形状 | 小薄片状 |
| 比表面积 | 36 - 40 m²/g |
| pH值(10%浆料) | 5.5 |
| 吸油量 | 65 - 70 g/100g |
| 遮盖力 | 半透明型 |
颜料红146合成方法
颜料红146通常通过以下工艺路线合成:
-
将红色基 KD Base、水和盐酸加热溶解,冷却后加入亚硝酸钠进行重氮化,加入活性炭,过滤备用。
-
将色酚AS-LC、水和氢氧化钠加热溶解,过滤。
-
滤液加至少量乙酸和表面活性剂的水溶液中,析出沉淀,再加入上述的重氮盐溶液,控制pH值为5~6反应。
-
反应体系加热至80℃,过滤、水洗、干燥,最终得到颜料红146产品。

颜料红146概述
颜料红146(Pigment Red 146)是一种半透明的单偶氮萘酚AS类有机颜料,呈鲜艳的蓝光红色(洋红色调),色彩饱满,光泽度高,着色力强,主要应用于印刷油墨和油漆涂料行业,也可与钼铬橙拼出不透明型红色,用于乳胶漆和建筑涂料;可与83号黄和炭黑可拼出棕色,用于木材着色。
颜料红146是颜料红57:1的理想的升级替代品,相较于颜料红57:1略带黄光,其在印墨中的打印样品展现出更好的耐溶剂性和耐灭菌处理性能,在耐溶剂性、耐热性、耐光性及色彩稳定性方面均优于PR57:1;热稳定性200°C/10分钟,耐光性5级,比颜料红57:1提升0.5~1级;在织物印花中耐光性可达7级(1/1SD)。
性能特点:
- 色泽鲜艳:呈蓝光红色,色彩鲜亮饱满,色相稳定,视觉效果出色。
- 耐光性:具有良好的耐光性,印刷样品耐光性5级;织物印花耐光性7级(1/1SD)。
- 耐热性:耐热性200℃/10分钟,比颜料红57:1提升约20℃。
- 耐溶剂性:出色的耐溶剂性能,适用于溶剂型油墨、硝基漆等体系。
- 良好的拼色性:可与钼铬橙拼配出不透明红色,与颜料黄83及炭黑拼配出棕色,可满足多样化配色需求。

颜料红146应用领域
颜料红146具备良好的耐光性、耐溶剂性和优异的着色性能,广泛应用于印刷油墨和涂料领域,适用于溶剂型和水性油墨、胶印油墨、UV固化油墨、凸版印刷、包装凹版印刷和柔版印刷、PA油墨、PP油墨、NC硝基纤维素油墨、甲苯基油墨、喷墨油墨等;亦适用于汽车涂料、粉末涂料、工业涂料、水性装饰漆、乳胶漆、建筑涂料、自干漆、硝基漆、烘烤漆,以及纺织品印花、木材着色、层压塑料薄膜包装印墨、艺术家色彩和纸张着色等多个领域。
