颜料黄150合成工艺—PY150颜料性能特点及应用解析
- 名称:颜料黄150
- 俗称:偶氮镍络合颜料
- 色相/色光:绿相黄色
- 化学类别:偶氮镍络合颜料
- 特点:着色力强,高耐光,耐高温,耐溶剂
- 应用:塑料、涂料、印刷油墨
- 更新日期:2025-05-23
- 点击索要样品 查询相关产品
偶氮镍络合颜料黄150生产工艺、结构、性能与应用详解
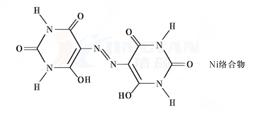
颜料黄150(Pigment Yellow 150)是一种含有嘧啶环结构的杂环类偶氮镍络合物有机颜料,主要成分为5,5'-偶氮双巴比妥酸镍配合物,具有非常好的耐光性和整体牢度性能,以及优异的耐热性。在塑料、涂料和印刷油墨等多个行业中被广泛使用。
颜料黄150基本信息
-
中文名称:颜料黄 150
-
英文名称:Pigment Yellow 150
-
化学文摘名称:5,5'-azobis-2,4,6(1H,3H,5H)-pyrimidinetrione Nickel complexes
-
CAS号:25157-64-6
-
C.I.结构号:12764
-
EINECS号:270-944-8
-
化学类别:嘧啶杂环类(镍络合物)
-
分子式:C₈H₆N₆O₆Ni
-
相对分子质量:340.70
-
分子结构:

颜料黄150理化性能
| 项目 | 参数 |
|---|---|
| 外观 | 土黄色粉末 |
| 色相/色光 | 绿光黄色(着色颜色) |
| 相对密度 | 2.0–2.1 g/cm³ |
| 堆积密度 | 17.0–17.3 lb/gal |
| 比表面积 | 约 40 m²/g |
| 吸油量 | 45–55 g/100g |
颜料黄150合成工艺
- 重氮化反应:对甲苯磺酰叠氮(p-Toluenesulfonyl azide)化合物与巴比妥酸(Barbituric acid)反应生成重氮盐中间体。这一过程也可替代为利用氨基胍碳酸盐(aminoguanidine carbonate)与亚硝酸钠(NaNO₂)反应制备叠氮甲脒盐酸盐(azidomethylguanidine hydrochloride)后,再与巴比妥酸反应生成重氮化合物。
- 偶合反应:所生成的重氮盐随后与巴比妥酸发生偶合反应,生成偶氮型有机配体。
- 络合反应:将上述偶合产物与镍盐进行络合反应,生成1:1型的偶氮镍络合物,即颜料黄150成品。此络合反应能够提高颜料的热稳定性和耐光耐候性。

颜料黄150概述:
颜料黄150是一种含有嘧啶环的杂环类偶氮镍络合物,其色粉呈较暗的土黄色,着色后呈半透明的绿光黄色调,具有优异的着色力和耐热性,全色和冲淡色都具有优异的耐光和耐候性能,在1/25标准深度(SD)下,涂料试样耐光牢度可达7-8级。PY150黄有机颜料广泛用于塑料、油漆涂料及印刷油墨等行业的着色,适用于几乎所有的聚合物树脂着色,可用于尼龙注塑和尼龙纺丝着色,也用于聚烯烃纺丝着色。其在印墨试样的耐酸/碱性良好,并有良好的着色强度。
性能特点
-
着色力强:着色后表现具有独特的绿光黄色效果
-
耐热性强:适用于高温加工工艺,如注塑与纺丝;
-
耐光耐候性好:全色、冲淡色均具有出色的牢度,适合长期户外使用的产品;
-
耐酸碱性好:适用于要求化学稳定性的印刷油墨体系;
-
耐溶剂性强:适用于多种溶剂型应用环境;

推荐应用领域
颜料黄150因其出色的综合性能而广泛应用于多种行业,主要包括:
塑料行业
适用于几乎所有聚合物体系的着色,如:PP、PE、POM、PS、PC、PA、PU、PET、ABS、橡胶及各类合成纤维等,均能展现出良好的着色力与耐久性能。
涂料行业
适用于装饰涂料、粉末涂料、建筑涂料、卷材涂料、工业涂料及汽车涂料等,颜料黄150凭借其优异的耐光、耐热和耐候性能,在各类高要求涂料体系中均能提供稳定持久的色彩表现。
油墨行业
广泛适用于多种类型的油墨体系,具有出色的着色力与耐久性,包括水性油墨、UV油墨、溶剂型油墨、凹版印刷油墨、胶印油墨、喷墨油墨以及各类印刷浆料,能满足对色彩鲜明度与长期稳定性的高要求。

颜料黄150代表产品
-
科莱恩HN4G颜料黄150水性装饰凹版印刷油墨专用偶氮镍黄颜料
科莱恩Hostaperm Yellow HN4G是一种绿相黄色偶氮镍络合物颜料,该颜料的索引号为颜料黄150,是用于水性装饰凹版印刷油墨绿相黄色调的既定标准颜色...
-
润巴P3410镍偶氮金属络合物颜料_颜料黄150
润巴Ranbar Yellow P3410是一种高性能的嘧啶杂环类偶氮镍金属络合物颜料,索引号为颜料黄150,该颜料在低浓度时给出较暗的绿相黄色调,高浓度时呈现...
-
朗盛颜料黄5GN01拜普拉斯偶氮镍络合物复合颜料BAYPLAST Yellow 5GN01
德国朗盛BAYPLAST Yellow 5GN01是一种绿光黄色的偶氮镍络合物复合颜料,具有非常好的耐光性、耐候性和耐热稳定性,适用于多数热塑性工程塑料的应用,...
