颜料红185高性能苯并咪唑酮洋红有机颜料 Pigment Red 185
- 名称:颜料红185
- 俗称:永固胭脂红 HF4C
- 色相/色光:艳蓝光红色
- 化学类别:苯并咪唑酮颜料
- 特点:颜色鲜艳、着色力强、高耐光、耐溶剂、耐迁移
- 应用:塑料、油墨、涂料
- 更新日期:2025-05-19
- 点击索要样品 查询相关产品
颜料红185(Pigment Red 185)详解:性能、应用与合成工艺
颜料红185(C.I. Pigment Red 185)是一种高性能苯并咪唑酮类有机颜料,呈现出鲜艳的蓝光红色,具有优异的着色力、耐光性、耐热性和良好的迁移牢度,广泛应用于塑料、油墨、涂料、橡胶等多个行业。本文将系统介绍该颜料的化学性质、理化性能、主要应用领域以及其合成方法。
一、颜料红185基本信息
-
中文名称:颜料红185
-
英文名称:Pigment Red 185
-
通用名称:苯并咪唑酮洋红 HF4C
-
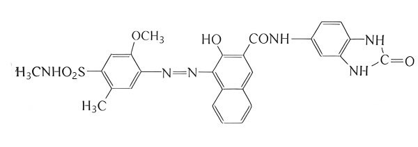
化学名称:
N-(2,3-二氢-2-氧代-1H-苯并咪唑-5-基)-3-羟基-4-[2-甲氧基-5-甲基-4-(甲氨基磺酰基)苯基]偶氮-2-萘甲酰胺
N-(2,3-dihydro-2-oxo-1H-benzimidazol-5-yl)-3-hydroxy-4-[[2-methoxy-5-methyl-4-[(methylamino)sulfonyl]phenyl]azo]-2-naphthalenecarboxamide -
颜料类别:有机颜料
-
结构类型:苯并咪唑酮类
-
C.I.结构号:12516
-
CAS号:51920-12-8
-
EINECS号:257-515-0
-
分子式:C₂₇H₂₄N₆O₆S
-
分子量:560.63
-
分子结构:

二、颜料红185理化性能
| 项目 | 参数 |
|---|---|
| 色相 | 鲜艳蓝光红色 |
| 相对密度 | 1.45 g/cm³ |
| 堆积密度 | 11.2–11.6 lb/gal |
| 熔点 | 335–345℃ |
| 平均粒径 | 约180 nm |
| 颗粒形状 | 小薄片状 |
| 比表面积 | 43–47 m²/g |
| pH值(10%浆料) | 6.5 |
| 吸油量 | 97 g/100g |
| 遮盖力 | 透明型 |
三、颜料红185性能与优势
颜料红185是一种蓝红色调高性能颜料,具有以下显著特点:
-
优异的耐光性:耐光牢度6-7级(1/3SD);
-
良好的耐热性:在印墨中耐热为220°C/10分钟;
-
高着色力:半透明艳蓝光红色,颜色鲜艳,着色力强;
-
耐迁移性强:在软质PVC中迁移性表现优异;
-
溶剂稳定性:几乎完全不溶于常见有机溶剂,且耐灭菌处理;
-
介电性能:具有良好的介电性能,适用于电缆行业。

四、颜料红185应用领域
颜料红185的应用范围广泛,适用于多种工业和消费品领域:
1. 塑料着色
推荐用于:
- PE、PP、PS、PVC、PU、EVA、PO等各种塑料材料;
- 电缆护套材料
- 彩色母粒与改性塑料
- 橡胶制品
2. 印刷油墨
适合于:
- 胶印油墨
- 水性油墨
- 溶剂型油墨(如PP、NC油墨)
- UV油墨
- 金属装饰和层压塑料薄膜印刷油墨
- 纺织品印花
3. 涂料与油漆
推荐用于:
- 工业涂料
- 建筑漆
- 卷钢涂料
- 汽车OEM和修补漆
- 粉末涂料

五、颜料红185合成方法
颜料红185的合成过程较为典型,属于偶氮缩合反应与后处理工艺结合的工艺路线。其简要步骤如下:
-
重氮化:将2-甲氧基-4-甲氨基磺酰基-5-甲基苯胺在水和盐酸中搅拌溶解,并冷却至0–5℃,滴加亚硝酸钠溶液进行重氮化反应。
-
偶合反应:将色酚AS-HNBI与氢氧化钠水溶液加热溶解并过滤,调节重氮液pH至5–6(用乙酸钠),滴加至偶合组分中,搅拌反应后升温至90℃,继续搅拌。
-
颜料化处理:冷却、过滤得到粗品颜料,再将其在二甲基甲酰胺(DMF)中进行颜料化处理,最终得到商品级CI.颜料红185。
颜料红185代表产品
-
润巴P1430蓝光红色苯并咪唑酮类有机颜料_颜料红185
润巴Ranbar Red P1430是一种半透明的蓝相红色苯并咪唑酮类有机颜料,索引号为颜料红185,该颜料颜色鲜艳明亮,着色力强,具有良好的耐光性、耐热性、耐...
-
科莱恩CLARIANT Novoperm Carmine HF4C胭脂红油墨专用颜料
科莱恩CLARIANT Novoperm Carmine HF4C是一种胭脂红色苯并咪唑酮类油墨专用颜料,它表现出优异的的耐溶剂性、耐酸碱性和耐重涂性等整体牢度...
-
科莱恩HF4C洋红色苯并咪唑酮颜料Graphtol Carmine HF4C(颜料红185)
科莱恩CLARIANT Graphtol Carmine HF4C是一种洋红色苯并咪唑酮有机颜料,具有良好的耐光性、耐热稳定性以及优异的耐迁移和耐酸碱性等整体色...

