颜料红112(Pigment Red 112):油墨与涂料用高性能红色有机颜料
- 名称:颜料红112
- 俗称:永固红FGR
- 色相/色光:中性红色
- 化学类别:单偶氮颜料
- 特点:颜色鲜艳、着色力强、耐光性好
- 应用:主要用于油墨和涂料领域
- 更新日期:2025-05-08
- 点击索要样品 查询相关产品
颜料红112(Pigment Red 112)概述:应用与性能特点分析
颜料红112(Pigment Red 112),俗称永固红FGR,是一种综合性能良好的单偶氮类有机颜料,给出鲜艳明亮的中性红色调,该颜料在浓硫酸中呈红光紫色,稀释后形成蓝光红色沉淀。颜料红112的色光接近甲苯胺红(颜料红3),因此在许多应用中,特别是在高牢度需求的领域,它常常用作颜料红3的替代品。本文将详细介绍颜料红112的基本特性、用途、合成方法以及在各类工业中的应用。
颜料红112基本信息
- 中文名称:颜料红112
- 英文名称:Pigment Red 112(P.R.112)
- 别名:永固红FGR(Permanent Red FGR)
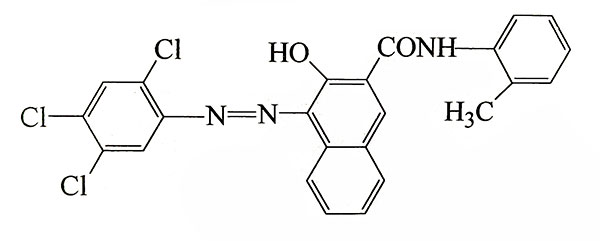
- 化学名称:3-hydroxy-N-(2-methylphenyl)-4-[(2,4,5-trichlorophenyl)azo]-2-Naphthalenecarboxamide
- CAS号:6535-46-2
- EINECS号:229-440-3
- C.I.结构号:12370
- 化学类别:单偶氮类
- 分子式:C₂₄H₁₆Cl₃N₃O₂
- 分子量:484.76
- 分子结构图:

颜料红112物化性能
| 性能指标 | 数值 |
|---|---|
| 色相 / 色光 | 艳红色 |
| 相对密度 | 1.38 – 1.65 g/cm³ |
| 堆积密度 | 11.5 – 13.5 lb/gal |
| 熔点 | 约 290 ℃ |
| 平均粒径 | 约 0.11 μm |
| 粒子形状 | 小薄片状 |
| 比表面积 | 37 – 40 m²/g |
| pH值(10%浆料) | 3.5 – 7.0 |
| 吸油量 | 35 – 88 g/100g |
| 遮盖力 | 半透明型 |

颜料红112主要用途与应用特性
颜料红112是一款具有良好性能的红色有机颜料,凭借其鲜艳的色彩,出色的着色强度和优良的耐光性,广泛应用于印刷油墨、油漆涂料、及纺织印花等多个领域。
1. 油漆涂料行业应用
在涂料中,颜料红112常用于以下领域:
- 风干涂料
- 烘烤搪瓷涂料(保持适当的条件以避免起霜)
- 汽车饰面涂料
- 工业涂料
- 木器涂料(可与颜料黄83、颜料紫23拼色使用)
- 乳胶漆(适用于室内涂料,外部使用时耐候性略差)
- 电泳涂装(电泳涂装是其特殊应用之一)
- 印花涂料浆
颜料红112在涂料中的耐光性表现突出,耐光牢度可达7-8级,稀释后色彩也可达到6-7级,适合高档涂料体系的要求。该颜料还用于织物印花,在这一领域的耐光性可达7级,但耐干洗性稍逊。需要注意的是其耐重涂牢度一般,并且有一定的起霜风险。
2. 印刷油墨行业应用
在印刷油墨中,颜料红112主要应用于:
- 凸版印刷油墨
- 胶印油墨
- 包装用凹版油墨
- 柔版印刷油墨
该颜料能提供鲜亮的红色图像,特别适用于包装、标签及宣传印刷等领域。

颜料红112合成方法
颜料红112的合成过程包括三个主要步骤:重氮化、偶联反应和后处理。
- 重氮化:首先,将1,2,4-三氯苯胺溶解于冰醋酸中,再将其转移到水中,加入盐酸,并冷却,在加入亚硝酸钠溶液进行重氮化反应,然后稀释,加活性炭过滤,备用;
- 偶联反应:在得到重氮盐后,将色酚AS-D溶于氢氧化钠溶液中,加硅藻土过滤,稀释,加入依加朋T和冰醋酸进行析出沉淀,然后将重氮液慢慢加入进行偶联反应;
- 后处理:经过过滤、洗涤和干燥处理,最终得到颜料红112。
颜料红112代表产品
-
润巴P1120黄相红高透明有机颜料_颜料红112
润巴Ranbar Red P1120是一种高透明的单偶氮类有机颜料,颜色呈鲜艳的黄相红色调,颜色索引号为颜料红112。润巴P1120高透明有机颜料具有着色力强,...
-
科莱恩永固红FGR颜料红112单偶氮颜料Permanent Red FGR
科莱恩永固红FGR是一种半透明的单偶氮萘酚AS颜料,颜色鲜艳、着色力好、光泽度高,即使在中等还原度下,永固红FGR也具有非常好的耐光性和耐候性;因此,当甲苯胺红...
-
巴斯夫艳佳丽红Irgalite L3865单偶氮有机颜料
巴斯夫艳佳丽红Irgalite Red L3865是一种传统型的单偶氮萘酚AS红有机颜料,颜料红112,亮度高,不透明度好,着色力强,呈非常艳丽的正红色(用二氧...